Taloyhtiösivut
Menu
Etusivu
Yhteystiedot
Tietoa yhtiöstä
5-Vuotiskorjaussuunnitelma
Asiakirjat
Hyödyllisiä nettiosoitteita
Kiinteistönhoitokulut
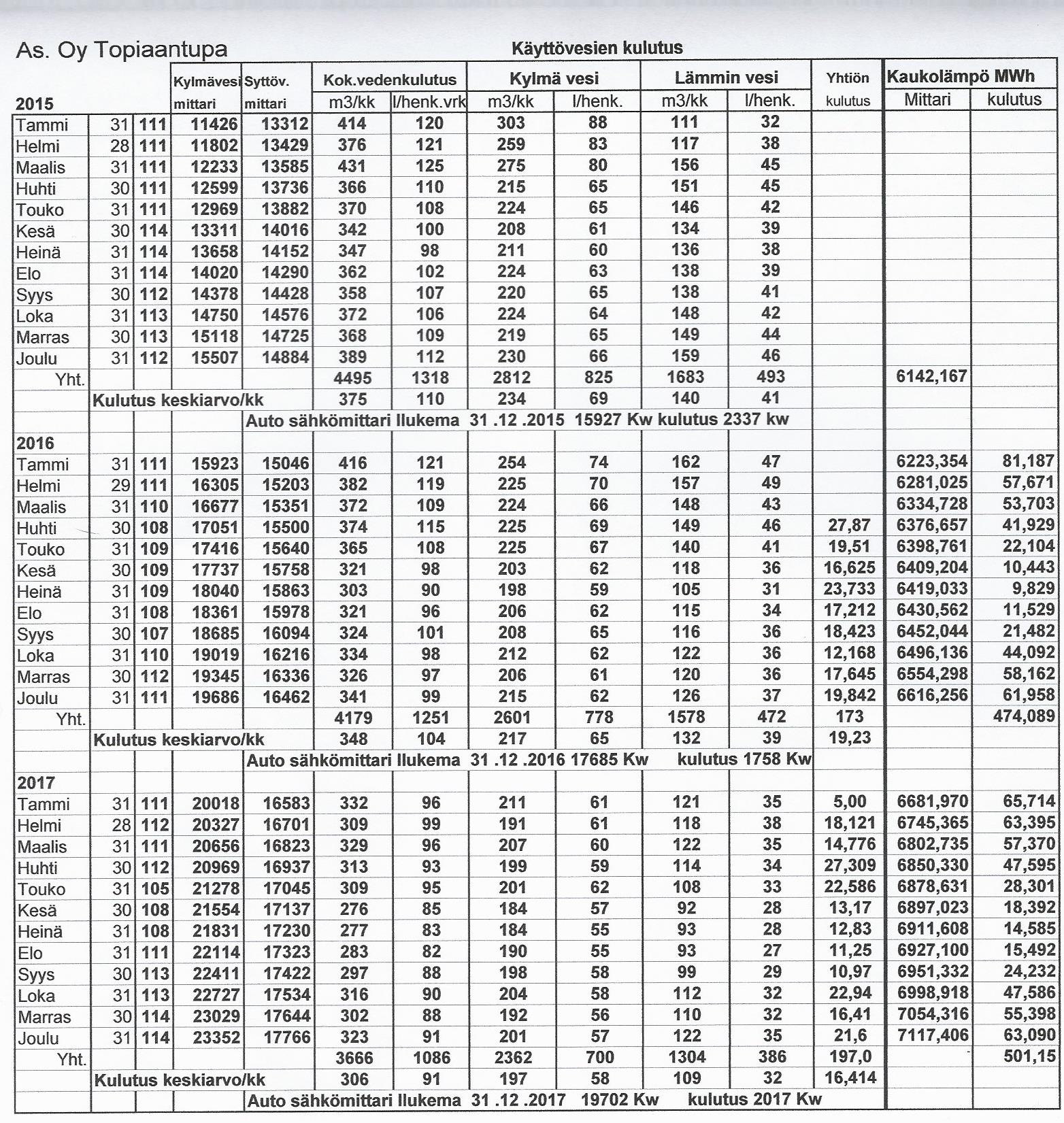
Käyttöveden ja Kaukolämmön kulutus
Nättinummen uimahalli
Oppaat
Hallituksen sivut
Sulje valikko
Käyttöveden ja Kaukolämmön kulutus
Topiaantupa As Oy
Käyttöveden ja Kaukolämmön kulutus